首页 > 关于艾为 > 新闻资讯 > 多彩艾为

【技术帖】一些关于音频功放的小秘密,你都知道吗?

2018-10-09



一个手机的音乐效果的好坏,取决于喇叭(包括喇叭单体、音腔结构、出音孔、防尘网等),音频功放,音效算法调试(平台音效或第三方音效等),这三者有效,合理配合,才能实现最终满意的音乐效果。本文主要从一些基础方面入手,简单调试音效并测量一些常用数据。



音频功放的输入电容与电阻是个啥?





艾为模拟音频功放,在INN、INP输入前端,都有一个电容和一个电阻,这两个器件有什么用?对于音乐效果又有何影响?



输入电阻

Rin


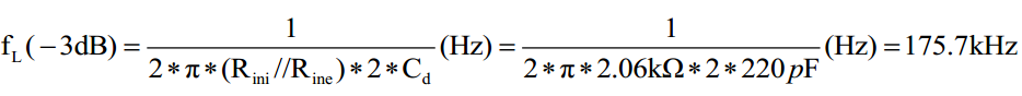
输入电阻分外部输入电阻Rin(也叫Rine)和芯片内部输入电阻Rini ,所以总输入电阻Rintotal=Rine+Rini,Rintotal决定PA放大倍数。放大倍数越高,喇叭响度越大,动态细节等变差。输入电阻越小,响度越小,但是动态细节更好。


外部输入电阻的正常推荐设计是3K左右,16倍即24dB增益。这个增益已经比较大了,建议不要通过减少电阻来提高放大倍数。


若是觉得声音清晰度或者动态不好,建议加大电阻,减少放大倍数。如AW87318,可以把电阻更改为10K,放大倍数约9.6倍。(本文以AW87318为例,不同PA的反馈电阻和Rini不同,亲,要看手册哦!)




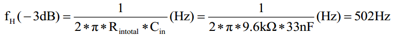
输入电容

Cin


输入电容Cin和输入电阻Rintotal形成一阶高通滤波器。


啥意思?啥作用?


用小白都能听得懂的话讲,如下图,一阶高通滤波器为502Hz,若输入信号为0dB,经过这个高通滤波器后,在502Hz衰减3dB,相当于声音变小了。频率小于502Hz的,衰减越厉害。


高通滤波器频率设定为502Hz信号曲线



高通滤波器频率设定为165Hz信号曲线


本来低频就差,你还衰减掉了,怪不得低频差啊!


NO NO NO,后面再和你解释一下,为什么高通滤波器不能设置太低的原因。


若是喇叭(本文所述喇叭,是包括喇叭单体,音腔结构,出音孔,防尘网等,非喇叭单体)不错,可以把高通滤波器设低一些,如把33nF电容换成100nF,高通滤波器频率为165Hz,低频也相对好一些。


再次强调,不同PA Rintotal电阻不同,就算外围器件一样,计算出来的滤波器截止频率也不同,所以一定要看手册自己计算哦!




Cd 220pF电容又是什么鬼?


它和外部电阻Rini以及内部电阻Rine形成低通滤波器,但是由于一般频率比较高,故不会有影响。所以可以NC或贴成小一点的值,千万不要贴错哦,不然声音都没了……之前就碰过几次贴成220nF了,声音都没了。



说完INN、INP输入前端匹配电容的作用以及影响,是时候表演真正的技术了。



容易被忽略的输入信号



这里有一个非常关键,且容易被忽略的数据,希望大家都能测试一下。


输入信号

平台输出给到PA的信号大小,决定了PA输出以及效果。


音频PA,(以AW87318参考设计为例),最大可把输入信号放大24dB,若输入信号过大,PA会自动调整增益,最大可衰减13.5dB。


从这一句话,就可以看出输入信号是多么重要了。所以,下次不要告诉我,你只看输出哦。那如何测试输入信号呢?以及它应该是多大呢?


测试方法:

1、EQ,DRC等等全部BYPASS。

2、通过示波器或AP,连接到下面位置。

3、播放1K 0dB信号,记录此时数值。若太大或太小,可以通过调整平台增益,选择合适的值。


什么叫合适的值?

不同输出功率档,输入信号大小是不一样的,如0.8W档,播放1K 0dB时,输入信号大小建议控制在0.24Vp~1.13Vp。


是不是想起你曾经碰到的疑问:

我调整音量等级如15到13,输出功率一样,但是听音乐响度是有变化啊。


知道原因了吗?

因为调整时,输入信号有可能还在这个范围内,故输出功率都是一样的。但是由于音乐是动态变化的,有0dB、有-30、-50dB,故输出的平均功率或响度会有变化。


但是,这个值只是表示在这个范围内,输出功率不变,是不是声音效果最佳呢?


一般情况下,我们建议,在响度能接受的情况下,尽量减少这个输入信号大小,这样调试出来的声音效果更佳。当然,若响度不够,加大输入信号是可以提升一些,但是有可能导致杂音更大。


AW87319/AW87329/AW87339一般建议在700~850mV Vp。

AW87318一般建议在550~700mV Vp。

AW8736,AW8737S一般建议在400~550mV Vp。

AW8733A,AW8735一般建议在200~300mV rms。


对于模拟输入接口,获取同样的输入信号幅度,建议数字增益设置到最大,而降低模拟增益,这样输入端底噪会小一些。不同输出功率档,输入信号大小是不一样的,如0.8W档,播放1K 0dB时,输入信号大小建议控制在0.24Vp~1.13Vp。


输入信号大小&输出功率


输入信号大小测量位置



VON,VOP输出信号




B1,B2,C2,C3干嘛用的?是不是必须要呢?


这几个器件,形成EMI滤波器,减少PA对于外部器件的干扰。所以,这几个器件,是否必须,以及选型方面,需要根据射频具体调试,但是也有一些共性必须把握。C2,C3电容:大家都知道,电容是“通交阻直“,而我们PA VON,VOP输出,都是D类输出,即800K Hz方波。所以,它会通过电容对地形成电流。好吧,又说出功耗的异常点啦。故建议,这个电容一般不要超过1nF,最好是在100pF以下,若射频没有问题,干掉它,KO。之前就碰过几个客户,把这个电容贴成1uF或以上的,PA直接保护了。


B1,B2输出磁珠呢?我们要求这个磁珠,DCR尽量小,建议50毫欧以下。为什么越小越好呢,喇叭是一个8欧姆阻抗的器件,若是磁珠DCR大了,分压到磁珠的电压也大了,从而给到喇叭的电压相对小了,喇叭端功率也变小了。所以是不是经常碰到喇叭端功率偏小,很大原因就是磁珠或走线压降导致。


输出磁珠还有一个参数比较关键,Irmax。一般Irmax=PVDD/R*1.3=1A(PVDD即升压后电压,R即为喇叭阻抗,默认为8欧姆,1.3是余量考虑)。选择合适的磁珠,可以避免电压的衰减,从而导致输出响度或细节效果的牺牲。



■如下示例:


1、主板和小板各加磁珠(Irmax=300mA)时(红线),VON,VOP衰减比较明显。


2、小板磁珠换成0欧姆时(蓝线),VON,VOP相对增加1dB左右。


3、把主板磁珠换成Irmax=900mA(绿线),VON,VOP相对第一步时,提升2~3dB左右,效果提升明显。




关键的器件:喇叭



其实我们所谓调音,很多时候是根据喇叭特性,以及客户需求,然后借助平台EQ,DRC或者第三方音效软件来调试。摸清喇叭特性就显得非常重要,一般情况下,我们会关注喇叭频响曲线SPL,失真曲线THD+N,阻抗曲线等。



频响曲线

SPL


理论上来说越平直的频响曲线越好,系统响应越接近于直通(度娘说的,好像没有那家能做到,手机更是如此)。


若是BOX喇叭,可以要求喇叭厂直接测试,并提供相关数据。若是结构音腔+喇叭单体,可以在喇叭焊盘处,飞两根导线出来,同样可以把频响曲线等数据测试出来(现在很多结构音腔喇叭都没有测试喇叭曲线,建议养成测试习惯)。


有了频响曲线,我们就可以根据曲线,简单的进行调试(即把曲线尽量拉平),如FH处响度比较大,可以稍微降低一些如-6dB。当然,强制把曲线拉平,最终的效果也不一定很好听,具体还可以稍微优化一下,后面调试时再简单介绍一下。(强制拉平,和喇叭本身曲线是平的,出来的声音效果是不同嘀)


频响曲线



THD+N

失真曲线


对于微型扬声器,在低频处都会存在较大的失真,比较好的喇叭,在500Hz以上能做到5%以下。


若是失真比较大,我们听起来就会有“杂音”,如下图,在800Hz处,可能有杂音,可能需要稍微衰减。(杂音这个词实在太强大了,可以概括所有异常声音,不过若是可以,可以描述为:钢琴曲杂音,低频鼓声杂音,女声高频杂音,打膜声杂音……)


这里回答上面提到的问题,为什么高通滤波器截止频率不能设定太低的原因。


1、若截止频率设定过低,喇叭低频失真一般比较差,这样低频出来更多,可能会杂音更大。


2、若截止频率设定过低,功放会以更多的能量来驱动低频部分,而此时喇叭在低频处所带来的响度提升并不明显,所以会造成能量的浪费。


THD+N失真曲线



阻抗曲线


通过阻抗曲线,我们可以得知F0大概在哪个频率、是否漏气等,可能对于调音帮助不大,但是对于结构是否密封良好、后音腔体积是否合理,有很大的判定价值。



啰嗦这么多,还没有提到调音啊,我是想来调音啊,效果不好,说这么多废话……







声音调试



好吧,我承认我不是一个专业的调音师,也没有很强的金耳朵,像一听就知道大概什么频率点,这个还真不是一般人能做到的。但是,我们可以抓住一些基本要点,对声音调试有一个基本的概念和调试方法。


1

确认输入信号大小

通过调整增益,从而控制输入到PA的信号大小。可以一边调试,一边测试并记录下来。后面调试时,也可以借用这些数据。有时因为输入信号给得太大了,如钢琴曲杂音很难消除,稍微降低一些,可能杂音就很好控制了。


输入信号大小可以参考上面推荐值,或者自己认为的合适值。




2

EQ调试


EQ调试最简单原则:喇叭频响曲线哪里高衰减哪里。频响曲线哪里低补哪里,失真THD+N哪里高衰减哪里。(所以说,前面喇叭特性的测量是很有必要的!)


当然,这个是定量化的说法,具体需要凭主观听感,看看哪里声音偏尖,哪里齿音过重,哪里有杂音并做相应的调整。前期可参考下面“音频均衡器各频段的听感影响”,对比调试。多调多听,你是最棒的。在这里有一个小技巧,在前面输入信号大小确认后,可以把EQ全通,DRC那里设定一个合适值如12,此时听喇叭的响度,差不多就是能达到的最大响度了,后面为了杂音或过尖等,有可能做一些响度牺牲。若是觉得此时响度还不够,可能得考虑一下,提高喇叭灵敏度SPL。




3

DRC调试


在上面调试界面,按Ctrl+D,右上角DRC弹出MBDRC,点击进去是如下界面:



DRC(Dynamic Range Control)动态范围控制,提供压缩和放大能力,可以使声音听起来更柔和或更大声,即一种信号幅度调节方式。MTK通过7个频率节点,分成8个band,这样可以控制不同频段下,不同大小信号的增益。调试起来比较灵活,若条件可以,可以多尝试一下MBDRC的调试工具。




音频均衡器各频段的听感影响



对于音频均衡器的调节一定要注意使用正确的方法,否则是不能发挥出均衡器这一有效调节手段的功能的。由于音频均衡器是声音信号频率响应反应及振幅进行调整的声电处理设备,因此首先对各个频带范围内声音的听觉特性做一个简单的了解。如下:


频率段(Hz) : 16k — 20k

听感影响:这段频率可能很多人都听不到,因此,听不到此段频率并不意味着器材无法回放,当然也不代表您的听力不够好,只有很少人可以听到20kHz。这段频率可以影响高频的亮度,以及整体的空间感,这段频率过少会让人觉得有点闷,太多则会产生飘忽感,容易产生听觉疲劳。

代表性的乐器:电子合声、古筝钢琴等乐器的泛音。


频率段(Hz): 12k-16k

听感影响:这段频率能够影响整体的色彩感,所谓小提琴的“松香味”就是由此段频率决定的,这段频率过于平淡会导致乐器失去个性,过多则会产生毛刺感,在后期处理的时候,往往会通过激励器来美化这段频率。

代表性的乐器:镲、铃、铃鼓、沙锤、铜刷、三角铁等打击乐器的高频泛音。


频率段(Hz): 8k-12k

听感影响:8-12kHz是音乐的高音区,对音响的高频表现感觉最为敏感。适当突出(5dB以下)对音响的的层次和色彩有较大帮助,也会让人感到高音丰富。但是,太多的话会增加背景噪声,例如:系统(声卡、音源)的噪声会被明显地表现出来,同时也会让人感到声音发尖、发毛。如果这段缺乏的话,声音将缺乏感染力和活力。

代表性的乐器:长笛、双簧管、小号、短笛等高音管乐器。


频率段(Hz): 4k-8k

听感影响:这段频率最影响语音的清晰度、明亮度、如果这频率成分缺少,音色则变得平平淡淡;如果这段频率成分过多,音色则变得尖锐,人身可能出现齿音。这段频率通常通过压限器来美化。

代表性的乐器:部分女声、以及大部分吹奏类乐器。


频率段(Hz): 2k-4k

听感影响:这个频率的穿透力很强。人耳耳腔的谐振频率是1-4kHz所以人耳对这个频率也是非常敏感的。如果空虚频率成分过少,听觉能力会变差,语音显得模糊不清了。如果这个频率成分过强了,则会产生咳声的感觉。2-4kHz对声音的亮度影响很大,这段声音一般不宜衰减。这段对音乐的层次影响较大,有适当的提升可以提高声音的明亮度和清晰度,但是在4kHz时不能有过多的突出,否则女声的齿音会过重。

代表性的乐器:部分女声、以及大部分吹奏类乐器。


频率段(Hz): 1.2k

听感影响:1.2kHz可以适当多一点,但是不宜超过3dB,可以提高声音的明亮度,但是,过多会使声音发硬。


频率段(Hz): 1k

听感影响:1kHz是音响器材测试的标准参考频率,通常在音响器材中给出的参数是在1 kHz下测试。这是人耳最为敏感的频率。


频率段(Hz): 800

听感影响:这个频率幅度影响音色的力度。如果这个频率丰满,音色会显得强劲有力;如果这个频率不足,音色将会显得松弛,也就是800Hz以下的成分特性表现突出了,低频成分就明显;而如果这个频率过多了,则会产生喉音感。如果喉音过多了,则会失掉语音的个性,适当的喉音则可以增加性感,因此,音响师把这个频率称为"危险频率”,要谨慎使用。

代表性的乐器:人声、部分打击乐器。


频率段(Hz): 300-500

听感影响:在300 — 500Hz频段的声音主要是表现人声的(唱歌、朗诵),这个频段上可以表现人声的厚度和力度,好则人声明亮、清晰,否则单薄、混浊。

代表性的乐器:人声。


频率段(Hz): 150-300

听感影响:这段频率影响声音的力度,尤其是男声声音的力度。这段频率是男声声音的低频基音频率,同时也是乐音中和弦的根音频率。在80 —160Hz频段的声音主要表现音乐的厚实感,音响在这部分重放效果好的话,会感到音乐厚实、有底气。这部分表现得好的话,在80Hz以下缺乏时,甚至不会感到缺乏低音。如果表现不好,音乐会有沉闷感,甚至是有气无力。是许多低音炮音箱的重放上限,具此可判断您的低音炮音箱频率上限。

代表性的乐器:男声。


频率段(Hz): 60-100

听感影响:这段频率影响声音的混厚感,是低音的基音区。如果这段频率很丰满,音色会显得厚实、混厚感强。