首页 > 关于艾为 > 新闻资讯 > 多彩艾为

【技术帖】听说vivo出了一款“神仙手机”?“神仙算法”究竟是什么黑科技?

2018-10-18


自问世以来,vivo Z系列就不断用实力创造惊喜。初心不泯,全新归来的Z系列新品,继续用科技积淀和对极致的不断追求,带来力量、智慧与颜值并存的全面进化。



Z系列是vivo今年6月份重磅推出的面向年轻消费群体的全新之作,其首款产品Z1上市半年以来,凭借全面畅快的使用体验和时尚的外观颜值赢得了众多消费者的青睐。



10月17日,vivo Z系列第二款机型Z3将正式来袭,此次vivo Z3采用更具潮流感的灵动水滴屏以及红外人脸识别技术,更是首次采用艾为Smart K+“神仙算法”的“神操作”,从硬件到软件双管齐下,实现了从外观到性能的崭新一跃!



今天,小为就从技术宅的角度,为大家深入分析艾为SKTune“神仙算法”究竟有什么神奇的音效体验!


手机作为移动互联网时代最主要的终端,也是最主要的多媒体娱乐设备。而手机的轻薄化设计对音乐性能带来了很大的挑战。


对音量、音质、低频效果的追求,是手机音频行业人一直努力的目标。为客户提供性能最优化的音频外放解决方案,一直是艾为人的使命。由此,搭配Smart K音频功放产品的 SKTune“神仙算法”应运而生!



SKTune 全流程解决方案



SKTune“神仙算法”是一套完备的“音频全流程解决方案”,包含了艾为音效算法和喇叭保护算法。



艾为专有的音效算法,是一款与世界级专业音效公司合作的全新算法,旨在为用户带来极致听音体验。



从下文以艾为的视角,为大家梳理的手机微型扬声器系统的演进趋势图中不难看出,同尺寸的音腔喇叭,如果要获得更大的响度、更好的低频,必须要求音频功放可提供更大的驱动电压,但同时,喇叭保护的重要性更为凸显。




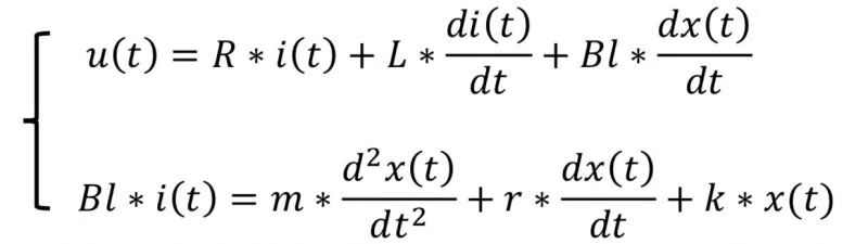
关于喇叭振幅保护


振膜位移可以看做是电磁力与弹簧弹力以及空气阻力共同作用的结果。


图片来源:《Modeling the Large Signal Behavior of Micro-Speakers》


根据振膜位移力学模型,我们得到结论如下:




Bl:力系数(磁隙磁通密度B与位于磁隙中的音圈导线长度的乘积)

m:振膜质量

r:空气阻力系数

k:弹簧劲度系数


根据振膜位移等效电路模型:





整个系统可以用转移函数表示为:





可以得到振膜位移和电压之间的关系:




以此建立振膜位移模型。根据喇叭振幅模型,预测喇叭振膜位移,并计算相应的实时增益,保护喇叭振幅工作在安全范围内。



实测结果与仿真曲线一致

Sweep扫频信号仿真与实测对比


以歌曲为例,蓝色预测振幅曲线和实测棕色振幅曲线基本完全重合。


歌曲音源仿真与实测对比


以内置AW87339某项目手机为例,粉噪SPL(响度声压级)达到86dB,实测《北京北京》、《偶阵雨》振幅曲线如下:



最大振幅很好得保护在了预设的0.3mm以内,但又充分发挥了喇叭的性能。



关于喇叭温度保护


根据喇叭的温度特性,喇叭的工作温度取决于输入喇叭信号的平均功率。通过实时监测有效电压值,控制输出信号幅度,以避免长时间大信号,使喇叭温升过高而损伤喇叭。



Pink Noise Signal @Max Noise Power (1.2W)Temp = 98⁰C, AGC off

Pink Noise Signal @Rated Noise Power (0.8W)Temp = 86⁰C, AGC off

Pink Noise Signal @Rated Noise Power (0.8W) Temp = 86⁰C, AGC On

Song: “Love is So Great”LAeq (loudness) = 85.7dBTemp = 46⁰C,AGC on

Pink Noise Signal @a Small Power (0.1W)Temp = 35⁰C, AGC off


温度上升20~30度,需要大信号持续5~10S。而艾为Smart K9 Plus系列音频功放,支持独创TLTR AGC技术,AGC attack时间一般设为172ms(7~353ms可调),增加瞬时功率,以提升音乐的动态和音量,而如果有持续大功率信号,TLTR AGC会保护到额定功率输出,以保证喇叭线圈的温度不会超过额定功率的温度。


温度保护歌曲(最大音量播放)实测,speaker coil温度基本始终稳定在50℃以内。


6 Songs -- A: CM_PIANO, B: Love is So Great, C: Flying Dance, D: HotelCalifornia,

E: Occasional Shower, F: Swallow Tail Butterfly.


TLTR AGC还有一个重要作用,它是模拟域的行为,可作为最后一级的喇叭保护,毕竟数字域在理论上存在程序跑飞等极小概率。欧美智能功放大厂就曾发生过,数字端DSP测试程序不完善,导致高不良率的出现,搭载问题芯片手机在用户端出现无声、失真等异常情况,最后不得不对此时期市场受影响的产品全线召回。另一知名欧美公司也曾出现过误检测温度为上千度,而导致喇叭无声的情况。


从上述案例中不难得出,光靠纯软件进行过温保护是不够安全的,这种案例也曾多次在市场上出现问题,而在SKTune“神仙算法”中,艾为采用软件与硬件相结合的方式保护喇叭温度,能够全方位更有效、更可靠地避免软件“跑飞”的风险。



关于虚拟低音算法


在当前手持设备或其他消费电子设备中,由于体积和外形的要求,作为发声的喇叭尺寸受到了极大限制,因为尺寸的限制会造成喇叭对于低音部分无法响应。音频部分低音的缺失,无法给消费者提供更高要求的听觉享受。


以下为两段纯音的对比。前半段为纯音的信号频域在180~310Hz,通常用于中低端智能手机,效果应该不太好。后半段是纯音上增加2~4次谐波,对比效果十分明显。



纯音对比00:0000:09




艾为 SKTune“神仙算法”能够通过精密的算法,精确分析虚拟声场的声学特性,从而转化为精确的混响函数,建立生动明亮的虚拟声场。FFT Based虚拟低音功能,还可以产生并增强低频的谐波,从而获得接近真实的虚拟低音。



关于SKTune和Smart K的市场反应


艾为SK Tune全流程解决方案重点突出全流程参与,同时提供完整的软硬件音频解决方案,协助客户以最高的效率实现量产。


全流程解决方案


自Smart K系列产品推出以来,已覆盖智能手机、IoT、智能家电等不同领域数百款产品,获得海内外知名品牌客户的一致好评。就在几个月前,Smart K系列产品凭借优秀的市场表现和品质保障,荣获国内知名手机品牌厂商品质大奖。



据了解,2017年统计数据,艾为芯片不良率小于10 ppm,而同类欧美公司产品的不良率均高于艾为。而基于过往两年的情况,已有多款vivo 机型采用艾为Smart K 系列产品。据可靠统计,Smart K在同类器件中占比超过30%,对用户口碑和生产连续性无重大负面影响,在两个(含)以上的商业伙伴里面质量排名第一,是当之无愧的“品质奖”获得者。在今年与会的375家vivo商业伙伴中,主办方共为数十家企业颁发“品质奖”,但其中,仅一家国产IC厂商榜上有名,即艾为Smart K成为唯一一家获得此项殊荣的中国芯!



此次vivo率先采用搭配SKTune“神仙算法”的Smart K音频功放产品,必将使 vivo Z3 拥有更高性价比和市场竞争力!



高品质的产品是半导体IC行业竞争力的重要体现。全力以赴、用最高标准要求自己,不仅是为“艾为芯”在海内外市场打响品牌的重要一环,更是对客户的庄严承诺。解决客户面临的所有问题,满足客户的一切需求,为客户提供最及时、最专业的服务和高品质、优价格的产品是每一个艾为人的目标和宗旨!



联系我们
&
更多资讯


如需了解更多产品信息

请拨

021-54271166

或发送邮件至

Sales@awinic.com.cn

进行咨询


awinic inside

品牌列表




*配图来源于网络,版权归原作者所有,如涉及作品版权问题,请与我们联系,我们将删除内容或协商版权问题!