
来源 | 本文转载自EETimes报道
作者 | Spark
近年来,随着消费类电子硬件的快速发展,智能硬件厂商逐渐地将“音质”作为了一项主要卖点。为了吸引消费者,他们开始通过喇叭音腔、软件音效等多种形式,不断提高智能设备的音质,更开始大面积地引入了一个名为“K类”的音频功放系列,为智能手机带来了不一样的体验。

本文中,笔者将为大家从音频功放的历史沿革和专业技术的角度,多方面解说“神仙算法”究竟是怎样一种黑科技!音频功放技术作为一个相当成熟的领域,经过几十年的不懈努力,已经在技术上取得了长足的进步。
近年来,随着消费类电子硬件的快速发展,智能硬件厂商逐渐地将“音质”作为了一项主要卖点。为了吸引消费者,他们开始通过喇叭音腔、软件音效等多种形式,不断提高智能设备的音质,更开始大面积地引入了一个名为“K类”的音频功放系列,为智能手机带来了不一样的体验。
国际领域唯一一款中国人命名
并成功注册商标的音频功放
或许很多人并没有听说过Smart K或者是艾为K类功放。
一般来说,音频功放主要分为A类、B类、AB类和D类功放。一直以来,在音频领域人们一直坚守着A类功放的阵地,认为A类功放声音最为清新透明,具有很高的保真度。但是A类功放的低效率和高损耗趋势无法克服的难题。而B类功放虽然效率提高,但也仅有50%左右。后来,效率极高的D类功放开始出现。
在手机等便携式智能设备进行音频功放选型时,最大考虑标准就是能否提供最大的音频功率输出。随着轻薄、短小的移动设备的发展,寻找一个省电的高效率的音频功放成为了市场的必然选择。为了更好的协调效率和音质的问题,一款拥有艾为自主知识产权的K类功放应运而生。

具体来说,K类功放首创了电荷泵架构,内部集成自主升压,并加入了艾为独家的NCN防破音技术,既能提高喇叭音量,又能同时保证完美的音色。为了贴近市场需求,艾为更是在K类的演进中首创多模功放,能够根据实际需要去实现D类或AB类等不同类型的功放的变形。随着K类产品演进的步伐,近几年间K类系列高压功放、数字功放等适用于不同规格喇叭、不同声音需求的产品不断推陈出新,始终走在行业前沿。
关于K类的命名,也有一段非常有趣的故事。在当时,有不少IC设计公司为自己的功放命名,包括G类、H类等都陆续出现在市场上。艾为音频研发小组成员综合了新一代创新音频功放大音量、防破音的特点,认为其比市面上各类音频功放产品都要更优质,是“功放之王”,因此取“King”的首字母,取名“K类”。还有一种关于“K类”功放命名的“传说”,是说由于这款艾为设计研发的功放产品外放声音比传统音频功放要大得多,在公共场合播放容易被群殴(Kill),因此取名为“K类”。
K类功放,是国际音频领域唯一一款以产品类别命名并成功注册商标的产品系列。提到K类功放,就不得不提到艾为电子。早在2010年,艾为就以自身的创新技术为背景,拉开了K类功放占领音频功放领域市场的序幕。
可以说,从早期的K类大音量功放,到自创的Multi_Level AGC专利技术的音乐功放K8,再到由艾为独创DO-Chargepump技术的K9 Plus和Digital Smart K系列产品都备受市场认可。
其中,艾为Smart K 系列音频功放产品更是艾为专门针对智能手机市场而开发的,自 2015 年上市以来好评不断。

Smart K系列音频功放的升压方式与欧美厂商相应产品的电感升压架构不同,采用的是艾为独有的DOC技术,不仅省去了电感设计,减小了占板面积,同时耶降低了系统成本,是专门提高智能手机音乐输出动态范围,提升整体音质而开发的高效率、低噪声、大音量的音乐功放。基于艾为对手机音效和喇叭特点独到的分析和理解,创新地采用模拟方式实现了艾为专有的音效算法,有效消除音乐播放中杂音,同时提升音质音量。
艾为Smart K系列产品比欧美厂商产品调试简单,推动了整个Smart PA市场向不带DSP架构的转变,并深受消费者欢迎,已被华为、小米、OPPO、vivo、联想、中兴、Moto、美图、NUBIA、ASUS等各大手机品牌的多款新上市机型广泛使用,为智能手机更高品质Smart PA的普及跨出了革命性的一步。
而我们不知道的是,作为首款由中国人原创并命名的智能音频功放产品,当艾为的Smart K 系列音频功放第一次面向市场时,并没有获得市场的认可,甚至没有被归类为Smart PA。但是,艾为并没有放弃,通过不断地与品牌厂商进行合作,利用产品进行验证,一次次的实测用事实说明,Smart K 的 喇叭 保护功能比起 Smart PA 采用纯软件的保护更安全、更高效。而这也为艾为赢得了大量的客户。
中国芯如何凭实力“发声”
用品质赢得客户
在国内智能设备厂商更偏好使用进口IC的市场形势下,艾为凭借优质的产品和专业的服务,开启了与海内外厂商的合作之旅。
其推出的K类系列产品不断贴合市场需求更新换代,从K类、Smart K,再到Digital Smart K……已经演进出十代以上产品,推出了模拟、数字、高压等不同特色、适用于不同智能硬件设备的多款IC,覆盖智能手机、IoT、智能家电等不同领域。
以智能手机市场为例,Smart K近年来更是大放异彩。就在今年,前有通过Smart K实现屏幕发声黑科技的vivo NEX ,后有AGM为大家带来全球性能最强的awinic inside三防手机——搭配四个JBL音腔配备四颗Smart K音频功放的AGM新机。
此外,艾为还在今年助力诺基亚推出了内置多颗艾为芯的“中国特供”新机——诺基亚X5。据了解,诺基亚X5采用了被海内外各大品牌厂商广泛使用的Smart K音频功放产品,更是首次搭配艾为独创的音效算法——“SKTune神仙算法”。正如之前所说,与传统通过电感升压的Smart PA不同,高压Smart K采用 DO-Chargepump技术,无电感架构、占板面积更小、成本更低,调试更简单,使得诺基亚X5这款千元机在声音体验上有了旗舰手机的“越级体验”。

除了智能手机之外,Smart K系列产品更是覆盖了IoT、智能家电等不同领域数百款产品,获得海内外知名品牌客户的一致好评。其中,不仅包括华为Mate20发布会上首发的智能手表、小米的多款智能家居硬件等,更有“政府背书”的Digital Smart K共享单车在北京问世。今年,Smart K系列产品更是凭借优秀的市场表现和品质保障,荣获国内知名手机品牌厂商品质大奖。
“SKTune神仙算法”全流程解决方案
助力中国芯腾飞
值得一提的是,在获得海内外知名品牌客户的一致好评后,艾为并没有就此止步,而是不断需求新的发展和合作的机遇。今年初,艾为电子与顶尖音效公司ARKAMYS达成战略合作协议,携手进军汽车、IoT等领域音效应用。“神仙算法”就是艾为与法国顶尖音效公司合作,集双方之所长,携手共拓未来市场,旨在为用户带来极致听音体验。

此前提到的诺基亚X5就采用了艾为高压Smart K和SKTune 神仙算法,从而使得诺基亚X5相较于市面上采用普通功放产品的手机,拥有更加纯净的好音质。接下来,我们就来为你细说“神仙算法”究竟是一个什么样的黑科技!

SKTune“神仙算法”是艾为专有的音效算法,是一款与世界级专业音效公司合作的全新算法,旨在为用户带来极致听音体验。

从下文以艾为产品的视角,为大家梳理的手机微型扬声器系统的演进趋势图中不难看出,同尺寸的音腔喇叭,如果要获得更大的响度、更好的低频,必须要求音频功放可提供更大的驱动电压,但同时,喇叭保护的重要性更为凸显。

关于喇叭振幅保护
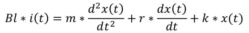
振膜位移可以看做是电磁力与弹簧弹力以及空气阻力共同作用的结果。

图片来源:《Modeling the Large Signal Behavior of Micro-Speakers》
根据振膜位移力学模型,我们得到结论如下:



Bl:力系数(磁隙磁通密度B与位于磁隙中的音圈导线长度的乘积)
m:振膜质量
r:空气阻力系数
k:弹簧劲度系数
根据振膜位移等效电路模型:

整个系统可以用转移函数表示为:

可以得到振膜位移和电压之间的关系:

以此建立振膜位移模型。根据喇叭振幅模型,预测喇叭振膜位移,并计算相应的实时增益,保护喇叭振幅工作在安全范围内。

实测结果与仿真曲线一致

Sweep扫频信号仿真与实测对比
以歌曲为例,蓝色预测振幅曲线和实测棕色振幅曲线基本完全重合。

歌曲音源仿真与实测对比
以内置AW87339某项目手机为例,粉噪SPL(响度声压级)达到86dB,实测《北京北京》、《偶阵雨》振幅曲线如下:

最大振幅很好得保护在了预设的0.3mm以内,但又充分发挥了喇叭的性能。
关于喇叭温度保护
根据喇叭的温度特性,喇叭的工作温度取决于输入喇叭信号的平均功率。通过实时监测有效电压值,控制输出信号幅度,以避免长时间大信号,使喇叭温升过高而损伤喇叭。

Pink Noise Signal @Max Noise Power (1.2W)Temp = 98⁰C, AGC off
Pink Noise Signal @Rated Noise Power (0.8W)Temp = 86⁰C, AGC off
Pink Noise Signal @Rated Noise Power (0.8W) Temp = 86⁰C, AGC On
Song: “Love is So Great”LAeq (loudness) = 85.7dBTemp = 46⁰C,AGC on
Pink Noise Signal @a Small Power (0.1W)Temp = 35⁰C, AGC off
温度上升20~30度,需要大信号持续5~10S。而艾为Smart K9 Plus系列音频功放,支持独创TLTR AGC技术,AGC attack时间一般设为172ms(7~353ms可调),增加瞬时功率,以提升音乐的动态和音量,而如果有持续大功率信号,TLTR AGC会保护到额定功率输出,以保证喇叭线圈的温度不会超过额定功率的温度。

温度保护歌曲(最大音量播放)实测,speaker coil温度基本始终稳定在50℃以内。

6 Songs -- A: CM_PIANO, B: Love is So Great, C: Flying Dance, D: HotelCalifornia,
E: Occasional Shower, F: Swallow Tail Butterfly.
TLTR AGC还有一个重要作用,它是模拟域的行为,可作为最后一级的喇叭保护,毕竟数字域在理论上存在程序跑飞等极小概率。业内也曾发生过,由于数字端DSP测试程序不完善,导致高不良率的出现,搭载问题芯片手机在用户端出现无声、失真等异常情况,最后不得不对此时期市场受影响的产品全线召回。另一知名欧美公司也曾出现过误检测温度为上千度,而导致喇叭无声的情况。
从上述案例中不难得出,光靠纯软件进行过温保护是不够安全的,这种案例也曾多次在市场上出现问题,而在SKTune“神仙算法”中,艾为采用软件与硬件相结合的方式保护喇叭温度,能够全方位更有效、更可靠地避免软件“跑飞”的风险。
关于虚拟低音算法
在当前手持设备或其他消费电子设备中,由于体积和外形的要求,作为发声的喇叭尺寸受到了极大限制,因为尺寸的限制会造成喇叭对于低音部分无法响应。音频部分低音的缺失,无法给消费者提供更高要求的听觉享受。
以下为两段纯音的对比。前半段为纯音的信号频域在180~310Hz,通常用于中低端智能手机,效果应该不太好。后半段是纯音上增加2~4次谐波,对比效果十分明显。

艾为 SKTune“神仙算法”能够通过精密的算法,精确分析虚拟声场的声学特性,从而转化为精确的混响函数,建立生动明亮的虚拟声场。FFT Based虚拟低音功能,还可以产生并增强低频的谐波,从而获得接近真实的虚拟低音。
综上所述,SKTune“神仙算法”是一套完备的“音频全流程解决方案”, 包含了艾为音效算法和喇叭保护算法,该算法能够通过精密的算法,精确分析虚拟声场的声学特性,从而转化为精确的混响函数,建立生动明亮的虚拟声场。
此外,艾为SKTune全流程解决方案重点突出全流程参与,同时提供完整的软硬件音频解决方案,协助客户以最高的效率实现量产。

一直以来,艾为都是用最高标准要求自己,不仅是为“艾为芯”在海内外市场打响品牌的重要一环,更是为了解决客户面临的产品问题,满足客户的需求,并为客户提供最及时、最专业的服务和高品质、优价格的产品。
正是因为如此,艾为凭借着首款被国际认可的自命名产品——K类功放以及独创的SKTune“神仙算法”不断在各个领域实现创新与超越,用产品与技术证明中国芯的实力,提升国产芯片在各类市场的替代率,成为一款名副其实的用实力“发声”的中国芯!